Two recent studies on Long COVID—a chronic disabling condition that afflicts many after infection or reinfection with SARS-CoV-2—provide important context to the anti-scientific abandonment of public health internationally. These reports lend further empiric evidence to the well-established fact that no one is safe from COVID-19 and that appropriate measures must be instituted immediately to protect people from future infections.
The first of these two studies was led by Dr. Ziyad Al-Aly and published in the New England Journal of Medicine (NEJM) Wednesday under the title, “Post-acute Sequelae of SARS-CoV-2 infection in the pre-Delta, Delta, and Omicron eras.” The purpose of the study was to address the real incidence of the condition given the broad estimates that have been mentioned in the media. The authors sought to understand how the different strains of SARS-CoV-2 that have emerged throughout the pandemic afflict people, both the unvaccinated and vaccinated.
Al-Aly is director of the Clinical Epidemiology Center and chief of research development at the Veterans Affairs St. Louis Health Care System and has been leading clinical studies on COVID-19 throughout the pandemic that have provided critical insights into Long COVID, also known as Post-acute Sequalae of COVID-19 (PASC). In particular, they have demonstrated that considerable health detriments persist even three years after a COVID-19 infection, underscoring the chronic nature of the debility.
Utilizing the Veterans Affairs’ vast medical database, they found that the cumulative incidence of PASC at one year after SARS-CoV-2 infection was 10.42 percent for unvaccinated persons in the pre-Delta era. This remained essentially unchanged during Delta, with Long COVID afflicting 9.5 percent of those infected. It declined very slightly to 7.76 percent of those infected with the Omicron strain, which first emerged and spread globally in November 2021.
Among vaccinated persons, the risk of Long COVID was dramatically lessened by comparison. Only 5.34 percent of these individuals during the Delta era developed PASC after infection, a nearly two-fold lowered risk. For the Omicron era, the risk of Long COVID among vaccinated individuals had declined to 3.5 percent. Al-Aly noted, “[Although] the decline is welcome news, the remaining risk is still substantial. Multiplied by the number of people who continue to get infected and re-infected, these rates would add considerably to an already high toll of people already impacted with Long Covid.”
In response to the question of how vaccines protect against Long COVID, Dr. Al-Aly explained to the World Socialist Web Site, “There is no mechanistic data to explain the data. [But] there are a couple of hypotheses. Vaccines reduce risk of severe disease which correlates with risk of long covid—but long covid can happen after even mild disease. So, this hypothesis may or may not be valid. Another hypothesis is vaccines may reduce viral load and enhance ability of the immune system to achieve viral clearance earlier—which may probabilistically lead to less chance of viral persistence and potentially less long covid. As you know, we need empiric data to evaluate these.”
Indeed, when one reviews the critical analysis made by data scientists who have modeled COVID wastewater concentrations and calculated estimates of daily infections, since the Omicron era, on average well over 500,000 people are being infected every day or over 180 million cases per year. Assuming every person has been vaccinated, a rate of 3.5 Long COVID cases per 100 persons infected means that over 5 million people can expect to develop Long COVID each year on top of the massive burden that already exists.

The authors of the NEJM study corroborated these back-of-the-envelope estimates when they wrote, “[Even] after this substantial decrease, the cumulative incidence of PASC at one year among vaccinated persons during the omicron era was not negligible. The large number of infected persons during the omicron era, the large numbers of ongoing new infections and reinfections, and the poor uptake of vaccination may translate into a high number of persons with PASC.”
On the issue of the current state of vaccination in the US, the Centers for Disease Control and Prevention (CDC) reported that as of May 11, 2024, only 22.5 percent of adults have received an updated COVID vaccine since September 14, 2023. However, for children six months of age through 17, that figure is a deplorable 14.4 percent. Including the complete abandonment of all mitigation measures, the ongoing surge of infections is being driven by the waning immunity in the population.
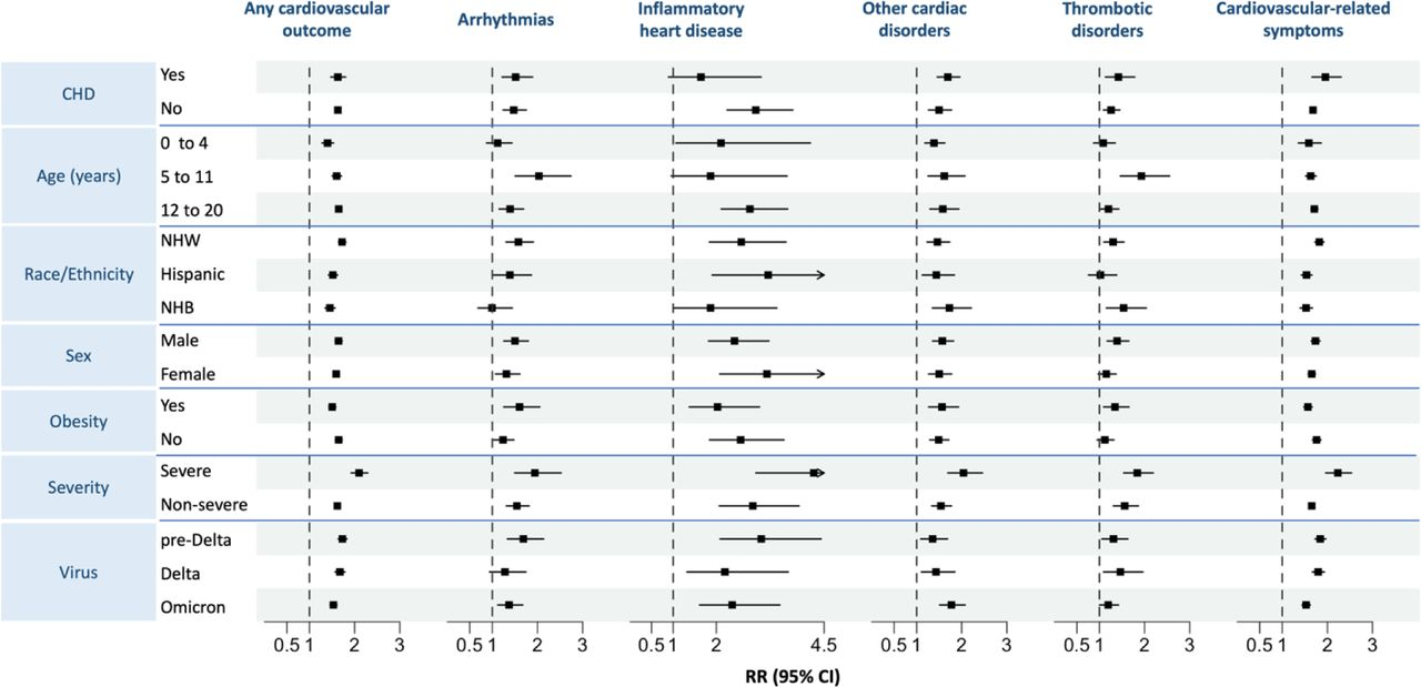
This raises to the fore the next important study, “Post-acute cardiovascular outcomes of COVID-19 in children and adolescents: an EHR [electronic health records] cohort study from the RECOVER project.” Conducted by the RECOVER (Researching COVID to Enhance Recovery) consortium and posted as a pre-print on medrxiv on May 15, 2024, the study exposes the lie that children are immune to the debilitation caused by COVID, specifically as it relates to their cardiovascular system.
Analyzing the data for over one million children and adolescents, nearly 300,000 with COVID and over 900,000 without COVID, those with documented infection exhibited increased risks for a host of post-acute cardiovascular outcomes that include high blood pressure, heart rate problems, heart inflammation, heart failure and heart enlargement, shock from heart failure, blood clots, chest pains, and palpitations. The elevation of these risks ranges from 26 percent to three-fold.
The results are worth reviewing. The authors note,
[The] absolute rate of any post-acute cardiovascular outcome in this study was 2.32 percent in COVID-19 positive and 1.38 percent in negative groups. Patients with congenital heart defects (CHD) post-SARS-CoV-2 infection showed increased risks of any cardiovascular outcome [63 percent increase], including increased risks of 11 of 18 post-acute sequalae … Those without CHDs also experienced heightened cardiovascular risks after SARS-CoV-2 infection [63 percent increase], covering 14 of 18 cardiovascular conditions…
Furthermore, the authors added,
Risks were consistently observed regardless of age, gender, race/ethnicity, obesity status, severity of acute COVID-19, or virus variant. Even children and adolescents without a history of any cardiovascular outcomes before SARS-CoV-2 infection showed increased risks, suggesting a broad potential impact on those previously considered at low risk of cardiovascular disease.
To suggest that COVID-19 is no more harmful than the flu is utter quackery. It remains a serious airborne pathogen that demands global attention.
The findings of these latest studies raise critical issues about population health. The fact that nothing is being done to address these issues only confirms that the problem is not the virus in the abstract, but the socially criminal response by the capitalist ruling elites to a pandemic virus with devastating long-term ramifications. The normalization of illness and death from COVID-19 makes abundantly clear that the leadership of the capitalist parties give their allegiance to Wall Street executives and the financial oligarchs.
The working class must read these scientific studies as political progress reports and discuss within their communities, as well as rank-and-file committees at every workplace, the ongoing dangers into which capitalism has thrust them and their families.
Someone from the Socialist Equality Party or the WSWS in your region will contact you promptly.
