Since the beginning of the COVID-19 pandemic, one of the essential talking points of the far-right globally has been that SARS-CoV-2, the virus that causes COVID-19, is no more harmful than the seasonal flu. From former Brazilian President Jair Bolsonaro calling COVID-19 a “little flu,” to Donald Trump claiming in February 2020 that the virus would be seasonal and “miraculously” disappear by Easter, this propaganda campaign aimed to minimize the dangers posed by COVID-19 and condition society to “live with” COVID-19 and all other pathogens.
With over 27 million excess deaths attributable to COVID-19 and estimates that hundreds of millions of people are now suffering from Long COVID-19 worldwide, such a comparison with the flu was always a transparent falsehood. Still, the propaganda has had an impact on public consciousness, with the great mass of the population unaware of the ongoing dangers they face as new variants of SARS-CoV-2 evolve and sweep across the globe every few months, leaving in their wake ever-growing numbers of dead and disabled.
While many principled scientists have exposed this central falsehood of the pandemic, none have done so as comprehensively as a study published last Thursday by the team of researchers led by Dr. Ziyad Al-Aly, the director of the Clinical Epidemiology Center, chief of research and development service at the Veterans Affairs (VA) Saint Louis Health Care System.
The study, published in the Infectious Disease section of the Lancet, is an 18-month comparative analysis following patients after hospital admission for COVID-19 versus influenza. It proves definitively that not only is COVID-19 far deadlier than influenza, but it also causes more long-term health injuries and damage to the body.
While this was not the authors’ intention, the study also provides the first measurable comprehensive assessment of the long-term health complications of influenza, what is known as “Long Flu,” which are considerable.
Similar to infection with SARS-CoV-2 and a slew of other pathogens such as measles, Epstein-Barr virus, herpes, and other coronaviruses, the influenza virus too can cause long-term health complications after the acute phase of the infection has subsided. This phenomenon was already known to some extent by the historical record of the 1918 influenza pandemic, but until now there had been very little quantitative data on “Long Flu.”
Senior author Al-Aly said in a news release by the Washington University School of Medicine in St. Louis, “The study illustrates the high toll of death and loss of health following hospitalization with either COVID-19 or seasonal influenza. It is critical to note that the health risks were higher after the first 30 days of infection. Many people think they’re over COVID-19 or the flu after being discharged from the hospital. That may be true for some people. But our research shows that both viruses can cause long-haul illness.”
This latest study by Al-Aly’s team, which is responsible for some of the most pioneering research on the impacts of COVID-19, is very timely. The US and much of the world are presently in the grips of a massive winter wave of infections caused by the highly infectious and immune-resistant Omicron JN.1 subvariant. In multiple countries where JN.1 is already dominant, most significantly in Singapore which has very high vaccination rates, COVID-19 hospitalizations are beginning to rise dramatically.
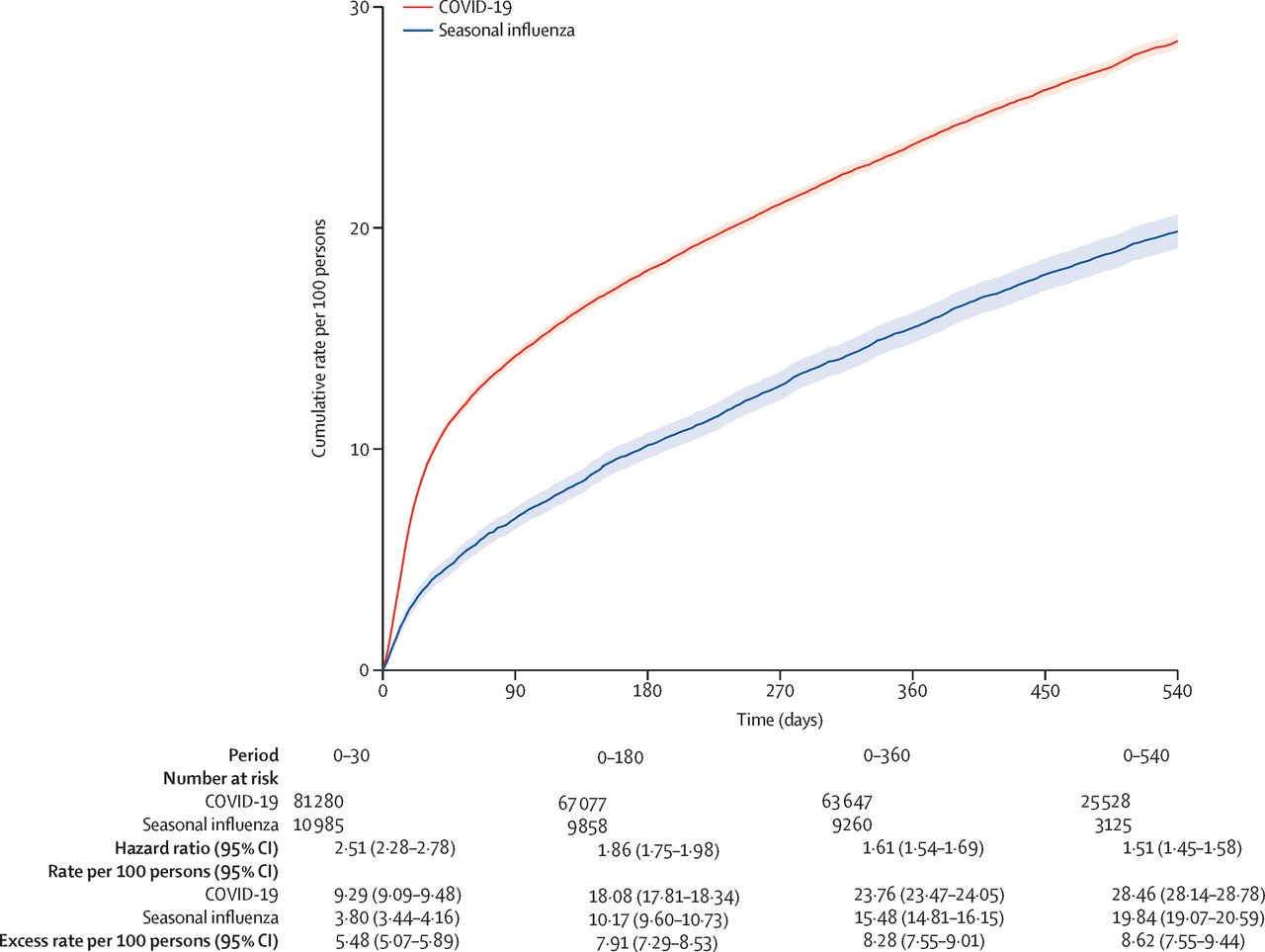
Utilizing the VA’s vast database, the study authors included over 82,000 patients who had been admitted for COVID-19 between March 1, 2020, and June 30, 2022, encompassing the pre-Delta, Delta, and Omicron phases of the pandemic. However, because of influenza’s rarity in the US during this period when some semblance of mitigation measures remained in place to combat COVID-19, the authors resorted to using a historical cohort (between October 1, 2015, and February 28, 2019) of nearly 11,000 influenza patients who had been hospitalized for a comparator.
A total of 94 pre-specified health outcome measures were analyzed, encompassing ten organ systems that included “cardiovascular, coagulation and hematological, fatigue, gastrointestinal, kidney, mental health, metabolic, musculoskeletal, neurological, and pulmonary.” The acute phase of their infections was defined as the first 30 days after their admission to the hospital and the post-acute phase of infection encompassed days 31 to 540, or 18 months.
Unsurprisingly, the absolute death rate was far higher for COVID-19 than the flu, with a cumulative death rate of 28.46 for COVID-19 and 19.84 for influenza per 100 persons, or 43 percent higher for COVID-19. In the first 30 days, the COVID-19 group had an increased risk of death that was 2.5 times higher than those admitted with the flu. Although this discrepancy declined over the intervening six-month intervals, it continued to remain elevated.
The acute phase of COVID-19 is far more often severe than that of flu, with roughly three times as many COVID-19 hospitalizations in the past year than the flu—roughly 1 million compared to 360,000—and four times as many official COVID deaths (roughly 83,000) as flu deaths (21,000).
Also, over the 18-month period, COVID-19 was associated with “significant increased risk” in 64 of the 94 measured health outcomes that encompassed nearly every organ system in the human body. By comparison, seasonal influenza was only associated with increases in six of the 94 health outcomes that included, angina, tachycardia, type 1 diabetes, and three pulmonary outcomes (cough, hypoxia, and shortness of breath).
As just one example of a measured health outcome, those with COVID-19 had a 2.4 times higher risk of heart attack in the first 30 days than those with the flu. This risk factor remained elevated throughout the 18-month period. Those who had COVID-19 also faced an increased risk of pulmonary embolism and many other potentially lethal conditions throughout the study period. Another uniquely devastating impact of COVID-19 pertains to mental health illnesses, including acute stress and suicidal ideations.
The authors highlighted two key findings in their study. With the exception of the gastrointestinal system, more than 50 percent of the total incident burden of disease in both COVID-19 and influenza occurred in the post-acute phase of infection, or between days 31 to 540. Secondly, COVID-19 patients had a higher burden of disease across all organ systems than the flu (except the pulmonary system) in both the acute and post-acute phase.
Summarizing these findings in an email communication with the World Socialist Web Site, Dr. Al-Aly wrote, “We observed higher risks of death, healthcare utilization and hits in most organ systems in COVID-19 than the flu. This was evident in pre-Delta, Delta, and Omicron. And also evident in vaccinated and unvaccinated individuals. COVID-19 remain a much more serious threat to human health than the flu.”
He added that the study findings underscore that “COVID-19 is really a multisystemic disease and flu is more of a respiratory virus.” That is not to say that the pulmonary consequences of COVID-19 were negligible, as it only slightly trailed the flu in this domain throughout the study period.
Dr. Al-Aly then made the point, “The burden of health loss from Long-Flu is substantial, but the burden of health loss from Long-COVID-19 is even higher. Yet, both Long-COVID-19 and Long-Flu lead to more health loss than either acute COVID-19 or Flu. Conceptualizing these illnesses as acute events obscures the much larger burden of health loss that occurs in the post-acute phase.” [Emphasis added]
In a press release accompanying the study, Dr. Al-Aly clarified this shift in scientific understanding of these pathogens, writing, “the big ah-ha moment was the realization that the magnitude of long-term health loss eclipsed the problems that these patients endured in the early phase of the infection.”
With SAR-CoV-2, a highly infectious non-seasonal pathogen with a robust capacity for further evolution, and for which existing vaccines and prior infections offer very limited immunity, the current global policy of “forever COVID” means that society is being forced to endure multiple annual waves of mass infection, with unknown but far-reaching long-term consequences. This amounts to a continuous, full-scale assault on billions of people who face the consequences of preventable but often non-visible injuries like kidney damage, as well as the more well-known brain fog and severe fatigue brought on by Long-COVID.
The recent publication in Statistics Canada on the experiences of Canadians with Long COVID underscores the completely unsustainable character of this policy. It provides striking confirmation of the many studies conducted on the impact of COVID-19 by Dr. Al-Aly and colleagues, above all their study published last year on the compounding risk of Long COVID-19 after each reinfection with SARS-CoV-2.
With a population of 38.3 million in Canada, the report noted that about two-thirds of adults reported experiencing at least one confirmed or suspected COVID-19 infection, while many have had multiple infections since the beginning of the pandemic. Of these, 3.5 million (one in nine) had experienced long-term symptoms, with 2.1 million still experiencing them as of June 2023. Half said they had not seen improvements in their symptomology.
Commenting on these data, which had been predicted by many experts, Lond COVID specialist Dr. Claire Taylor wrote, “If you input the Statistics Canada data into David Steadson’s graph, you get 14.6 percent first infection get Long COVID-19 and 38 percent by third infection. The modelling curves were correct. This is literally insane.”
Providing further context to the alarming findings of the latest VA study, The Hill published a report last week highlighting the high number of excess deaths being observed by life insurers in 2023 compared to the same period in 2019. In the first three quarters of this year, close to 160,000 more Americans have died than in the same pre-pandemic period.
The Hill wrote, “Actuarial reports—used by insurers to inform decisions—show deaths occurring disproportionately among young working-age people. Nonetheless, America’s chief health manager, the Centers for Disease Control and Prevention, opted in September to archive its excess deaths webpage with a note stating, ‘These datasets will no longer be updated’ … to some extent, we know what is killing the young, with an actuarial analysis of government data showing mortality increases in liver, kidney, and cardiovascular diseases, and diabetes.”
However, they are incapable of supplying the “why.”
The findings of the latest VA study, the data from Statistics Canada, and the ongoing elevated rates of excess deaths place into stark relief the necessity for a preventative strategy towards COVID-19 and all infectious diseases, rather than a reactionary status quo that plays Russian roulette with the health of the working class while funneling ever-greater wealth to the financial oligarchy.
Indeed, the trillions being hoarded by the world’s billionaires needs to be immediately appropriated and redirected into a massive global public health program, centered on renovating infrastructure to make all indoor spaces safe against disease transmission, including through the use of HEPA filters, ventilation, safe Far-UVC ultraviolet irradiation devices, and other sanitation measures. Through such a globally coordinated program, SARS-CoV-2, influenza and numerous other pathogens could be eliminated throughout the world, saving millions from death and long-term disability each year.
Additionally, funds must be made available for researchers to study the long-term impacts of infections, design treatments and conduct extensive health evaluations to address the developments of new diseases in individuals.
Altogether, the latest study led by Al-Aly demands a radical shift in all antiquated conceptions towards viral pathogens and the diseases they cause. Neither the initial damage caused during the acute phase of infections, nor the prolonged suffering that impacts a sizeable percentage of patients, should be accepted by modern society with its vast technological progress and capabilities.
Eliminating or drastically reducing transmission of all pathogens will not build up a so-called “immunity debt” that must inevitably be repaid—the latest lie peddled by the same right-wing forces who have compared COVID-19 to the flu. Rather, this socialist public health strategy will free future generations from the unnecessary suffering wrought by an outmoded social order.
Dr. Al-Aly and colleagues have provided critical insight into the ongoing mass excess deaths and the “mass disabling event” of Long COVID. However, as the WSWS has previously noted, SARS-CoV-2 is simply a biological entity whose unconscious aim is to infect again and again. It is the social and political response of world capitalism, overseen by a conscious and thoroughly criminal profit-driven ruling class, that has given the virus free rein to carry out its ongoing assault on global society. They must be swept aside to enable the further progress of humanity.
Someone from the Socialist Equality Party or the WSWS in your region will contact you promptly.
